| 网站首页 | 数学工具相关 | office软件使用 | 数学试卷 | 数学课件 | 数学教案 | 资源下载 | 请您留言 | 
  {$MY_AD_Banner}
您现在的位置: 数学工具网 >> 数学工具相关 >> Word版使用技巧 >> 正文 用户登录 新用户注册
[组图]如何输入分数(1)--使用快捷键输入分数     ★★★
如何输入分数--1、使用快捷键输入分数
作者:admin 文章来源:本站原创 点击数: 更新时间:2008-7-12 23:24:15

1、分数的快捷键输入:
   《数学工具》提供了很好的数学公式录入支持,当您按下快捷键:“Ctrl+Alt+/”,会弹出如图所示的对话框:

    在对话框中,您只要按计算机数学表达输入 的规则输入数学表达式,就能生成相应的公式。如输入“1/2”则可生成分数:
在公式输入框中输入分数的语法规则:
标准形式:(分子)/(分母)
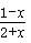
如:输入“(1-x)/(2+3x)”,则生成分数:
输入 (2x-ay)(x+1)/(3x-y),则生成分数
注意分子是可以取多个代数式的积作为分子(如上例中,将(2x-ay)(x+1)整体当作分子),但分母只取一个整式。如,输入(x+1)(x+2)/(x+3)(x+4)则会生成 如果想生成 ,则须输入(x+1)(x+2)/((x+3)(x+4))
对于简单分数,可省略括号,如上例中的“1/2”。省略括号时须注意:分数的分子和分母都只能是数字或字母,且不能含有运算符号。
简化形式:分子/分母
输入 1/2 将生成    
输入 33/65 将生成
 
输入 1/2+1/3=5/6 将生成
 
注意
:简化形式的分数的分子和分母都只能是数字或字母,且不能含有运算符号。如果要生成字母、数字混合的分数,则须用标准形式,如要生成 形式的分数,则须输入(3a)/(2b),如果输入3a/2b,则会生成
分数、根式、幂等的混合输入:
  
《数学工具》提供了很好的数学公式录入支持,这里仅就各种形式的分数录入举一些例子,具体的输入规则请看使用说明中的介绍(使用说明下载地址http://www.mathtool.cn/down/shuoming.htm)。

输入
g2/2 (或sqr(2)/2) 生成  
输入 (sin$a+cos$a)/(sin$a-cos$a)  生成  
输入 g(x^2-2x+3)/(2-x^3)  生成
  

{$MY_AD_Squar_article_left}
文章录入:admin    责任编辑:admin 
  • 上一篇文章:

  • 下一篇文章:
  • 【字体: 】【发表评论】【加入收藏】【告诉好友】【打印此文】【关闭窗口
    专 题 栏 目
    最 新 热 门
    最 新 推 荐
    相 关 文 章
    用数学工具在word中画不
    12月7日《数学工具》(p
    快速录入数学公式——6、
    快速录入数学公式——5、
    快速录入数学公式——4、
    快速录入数学公式——3、
    快速录入数学公式——2、
    快速录入数学公式——1、
    《数学工具》的最新版本
    如何画数轴或在数轴上表
    网友评论:(只显示最新10条。评论内容只代表网友观点,与本站立场无关!)
     

    数学工具版权所有 Copyright © 2015-2020 mathtool.cn. All Rights Reserved .
    浙ICP备15030860号 联系方式 QQ:87735874 E_mail:zhangyongsc@163.com